隨著全球變化加劇,生物多樣性喪失如何對生態系統功能和人類福祉的影響已經成為最受關注的科學問題和社會熱點。在過去半個世紀,生態學家在全球模擬建立了近百個生物多樣性滅絕控制實驗,用來檢驗物種喪失對生態系統生產力等功能的影響過程和生態后果。研究發現,當物種“非隨機”滅絕時,草原生產力和森林產材量會大幅減少。換言之,生物多樣性越高,生態系統生產力更大,從而為人類提供更多的生態系統服務功能。更為重要的是,生物多樣性對生態系統功能的正向效應會隨時間推移而逐漸增加。雖然這些研究發現極大地豐富了我們對生物多樣性與生態系統功能關系維持的理解,但這種時間增強效應背后的生態學過程尚不清楚。
華東師范大學生態與環境科學學院閻恩榮科研團隊與國際同行合作,基于我校的舟山海島以及全球其他26個森林和39個草地植物多樣性控制實驗的長期觀測數據 (圖1),通過整合分析,首次揭示了功能策略不同的物種的超產(生產力在多物種組合大于單種組合)時間互補是強化植物多樣性加性效應的主要生態過程(圖2),從而顯著推動了對生物多樣性與生態系統功能關系維持機制的深入理解,也為退化生態系統恢復和草地與森林生產力優化提升管理中的物種配置方案提供了理論基礎和方法途徑。該研究成果以 Effects of plant diversity on productivity strengthen over time due to trait-dependent shifts in species overyielding 為題,于2024年3月7日發表在《自然-通訊》(Nature Communications)上。

Nature Communications 刊發華東師大生態與環境科學學院閻恩榮團隊聯合研究成果

圖1. 本研究所包括的全球BEF實驗分布圖以及部分實驗總體圖。三個實驗樣地圖分別來自美國雪溪松(Cedar Creek)、德國耶拿(Jena)和本課題組位于浙江省舟山市普陀山的實驗樣地(FD-Putuo)
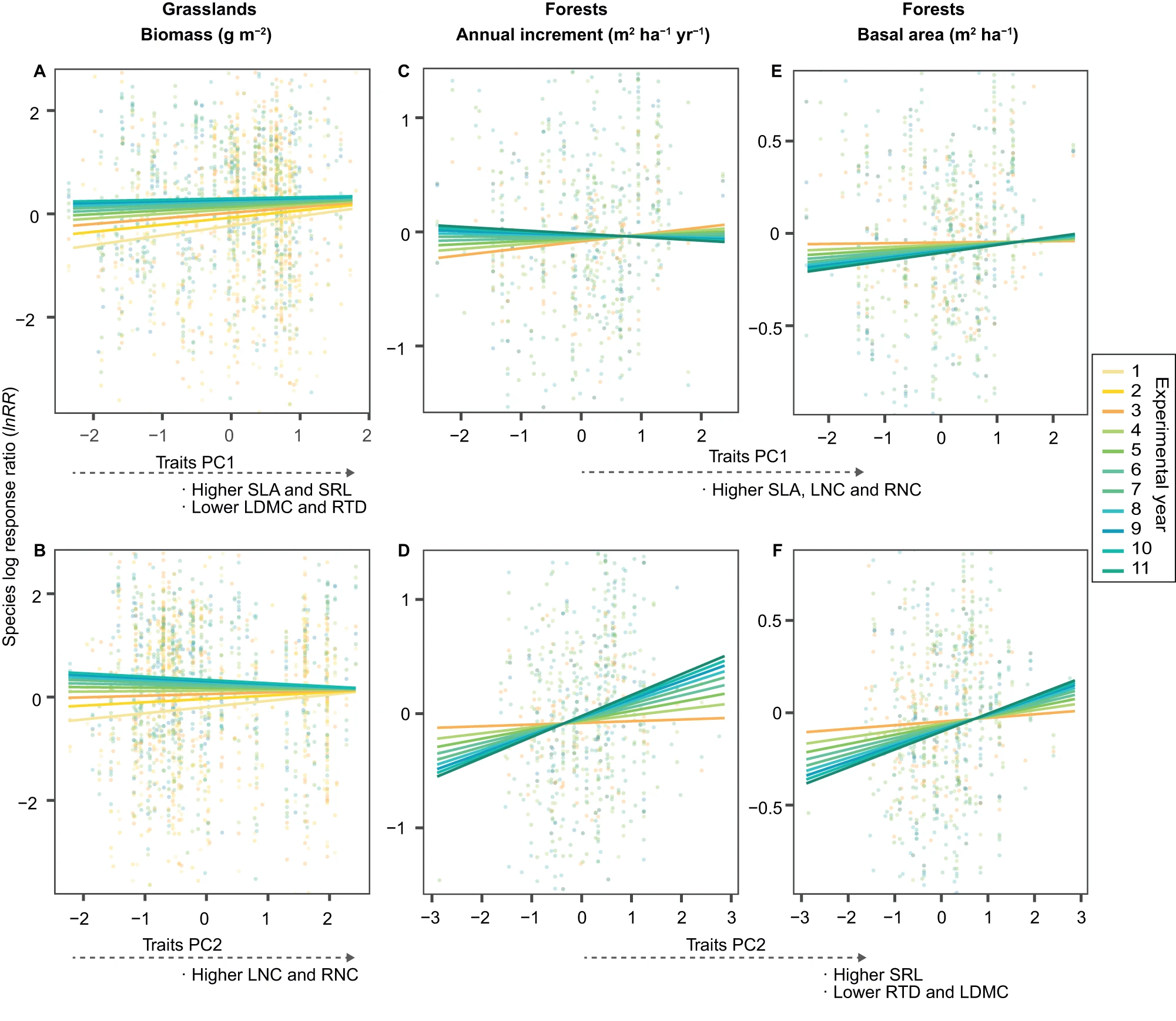
該研究發現,物種多樣性效應的時間強化過程來源于生態快慢等生態策略不同的物種的超產時間互補過程,但作用方式在草原和森林生態系統不同(圖2,3)。在草地群落中,物種多樣性效應的時間強化過程主要取決于資源保守型(慢生長)物種的生物量超產隨時間推移的增加,而資源獲取型(快生長)物種的生物量超產隨時間推移傾向于減少。與之相比,森林樹種多樣性效應的時間強化過程主要取決于地上和地下功能策略的動態互補;具體而言,隨著時間的推移,光捕獲能力強的樹種的生長超產逐漸減少,而土壤養分和水分資源獲取能力強的樹種的生長超產逐漸增加。這個研究表明,選擇具有不同和潛在互補的生態策略的物種不僅對短期內恢復生態系統生產力至關重要,而且對維持生態系統生產力的長期可持續性也至關重要。

圖2. 群落水平的植物多樣性效應的時間強化取決于物種水平生長超產隨時間的推移概念模型

圖3. 物種水平(從資源保守型一端到資源獲取型一端)超產隨時間推移而變化
這項研究由華東師范大學聯合國內外72位學者共同完成,生態與環境科學學院22屆博士畢業生鄭麗婷(現美國密歇根大學博士后)為論文第一作者,閻恩榮教授為通訊作者。華東師范大學為第一完成單位,合作單位由荷蘭烏德勒支大學和瓦赫寧根大學、美國密歇根大學和明尼蘇達大學、德國哥廷根大學和哈雷-耶拿-萊比錫生物多樣性綜合研究中心、英國牛津大學和比利時根特大學等18個國家的48家高校與研究機構組成。
該研究得到國家自然科學基金重點項目(32030068)和上海市高校Ⅳ類高峰學科(島嶼大氣與生態)的資助。
附:
論文鏈接:https://www.nature.com/articles/s41467-024-46355-z
來源|生態與環境科學學院、科技處 編輯|鄧安之 編審|郭文君